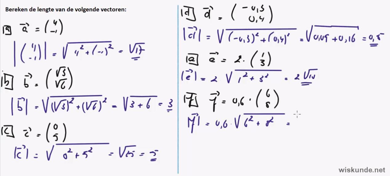
Video uitwerkingen 10.1 Vectoren VWO 5 B
Boek: Getal & Ruimte - Meetkunde met vectoren VWO 5 (deel 3) opgaven 1 t/m 12, 2021, 12e editie
LET OP: Wil je ook toegang tot meer dan 16.900 video-uitwerkingen? Meld je dan snel aan! Klik hier...
Laatst bekeken: 2026-01-02 Duur: 1:09, 1.2 MB Rating: 4 / 5, aantal stemmen: < 10 keer |
||||||
Laatst bekeken: 2026-01-02 Duur: 3:58, 5.3 MB Rating: 5 / 5, aantal stemmen: < 10 keer |
||||||
Laatst bekeken: 2026-01-03 Duur: 2:33, 2.9 MB Rating: 0 / 5, aantal stemmen: 0 keer |
||||||
|
Laatst bekeken: 2026-01-02 Duur: 2:20, 2.6 MB Rating: 0 / 5, aantal stemmen: 0 keer |
|||||
|
Laatst bekeken: 2026-01-03 Duur: 3:00, 3.8 MB Rating: 0 / 5, aantal stemmen: 0 keer |
|||||
|
Laatst bekeken: 2026-01-02 Duur: 3:12, 5 MB Rating: 5 / 5, aantal stemmen: < 10 keer |
|||||
|
Laatst bekeken: 2026-01-02 Duur: 2:38, 3.4 MB Rating: 5 / 5, aantal stemmen: 2 keer |
|||||
|
Laatst bekeken: 2026-01-02 Duur: 4:43, 6.6 MB Rating: 5 / 5, aantal stemmen: < 10 keer |
|||||
|
Laatst bekeken: 2026-01-02 Duur: 5:07, 5.4 MB Rating: 4.5 / 5, aantal stemmen: 2 keer |
|||||
|
Laatst bekeken: 2026-01-02 Duur: 3:36, 5.1 MB Rating: 5 / 5, aantal stemmen: < 10 keer |
|||||
|
Laatst bekeken: 2026-01-02 Duur: 2:55, 3.4 MB Rating: 5 / 5, aantal stemmen: < 10 keer |
|||||
|
Laatst bekeken: 2026-01-02 Duur: 6:16, 7.5 MB Rating: 4 / 5, aantal stemmen: < 10 keer |
|||||
Andere paragrafen:
10.0. Voorkennis (1 t/m 2)
10.1. Vectoren (1 t/m 12)
10.2. Vectoren en rotaties (13 t/m 26)
10.3. Vectoren en lijnen (27 t/m 43)
10.4. Vectoren en hoeken (44 t/m 63)
10.5. Vectoren bij snelheid en versnelling (64 t/m 74)
10.6. D-toets (1 t/m 14)
10.0. Voorkennis (1 t/m 2)
10.1. Vectoren (1 t/m 12)
10.2. Vectoren en rotaties (13 t/m 26)
10.3. Vectoren en lijnen (27 t/m 43)
10.4. Vectoren en hoeken (44 t/m 63)
10.5. Vectoren bij snelheid en versnelling (64 t/m 74)
10.6. D-toets (1 t/m 14)
In de media! Aan het woord...
Word ook lid!
Word ook lid!
Hoe maken wij onze video's?
Word ook lid!
Word ook lid!
Ook van ons:
Brugklas.net
Vmbobasis.nl
Vmbokader.nl
Mavo3.nl
Mavo4.nl
Havo1.nl
Havo2.nl
Havo3.nl
Vwo1.nl
Vwo2.nl
Vwo3.nl
Wiskunde-a.nl (4/5/6)
Wiskunde-b.nl (4/5/6)
Wiskunde-c.nl (4/5/6)
Wiskunde-d.nl (4/5/6)
Wiskundeles.nl
Wiskunde.help
Wiskunde.LIVE (later meer)
Wiskunde examentraining (2025)
Brugklas.net
Vmbobasis.nl
Vmbokader.nl
Mavo3.nl
Mavo4.nl
Havo1.nl
Havo2.nl
Havo3.nl
Vwo1.nl
Vwo2.nl
Vwo3.nl
Wiskunde-a.nl (4/5/6)
Wiskunde-b.nl (4/5/6)
Wiskunde-c.nl (4/5/6)
Wiskunde-d.nl (4/5/6)
Wiskundeles.nl
Wiskunde.help
Wiskunde.LIVE (later meer)
Wiskunde examentraining (2025)
