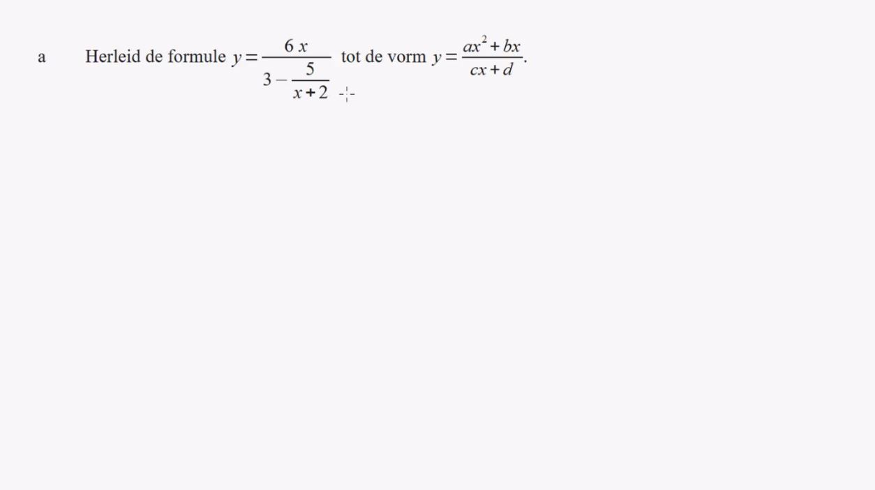
Video uitwerkingen 4.4 Formules met breuken herleiden VWO 4 B
Boek: Getal & Ruimte - Vergelijkingen en herleidingen VWO 4 (deel 1) opgaven 63 t/m 76, 2024, 13e editie
LET OP: Wil je ook toegang tot meer dan 18.100 video-uitwerkingen? Meld je dan snel aan! Klik hier...
Laatst bekeken: 2026-04-22 Duur: 2:33, 2.7 MB Rating: 4 / 5, aantal stemmen: < 10 keer |
||||||
Laatst bekeken: 2026-04-20 Duur: 1:35, 1.8 MB Rating: 5 / 5, aantal stemmen: < 10 keer |
||||||
Laatst bekeken: 2026-04-21 Duur: 8:09, 8.6 MB Rating: 5 / 5, aantal stemmen: < 10 keer |
||||||
Laatst bekeken: 2026-04-21 Duur: 10:52, 12.3 MB Rating: 3 / 5, aantal stemmen: 2 keer |
||||||
Laatst bekeken: 2026-04-21 Duur: 2:34, 3 MB Rating: 5 / 5, aantal stemmen: < 10 keer |
||||||
Laatst bekeken: 2026-04-20 Duur: 2:32, 3.1 MB Rating: 5 / 5, aantal stemmen: < 10 keer |
||||||
Laatst bekeken: 2026-04-20 Duur: 1:00, 1.3 MB Rating: 4 / 5, aantal stemmen: < 10 keer |
||||||
Laatst bekeken: 2026-04-21 Duur: 2:55, 3.1 MB Rating: 5 / 5, aantal stemmen: < 10 keer |
||||||
Laatst bekeken: 2026-04-20 Duur: 5:09, 6.2 MB Rating: 4 / 5, aantal stemmen: < 10 keer |
||||||
Laatst bekeken: 2026-04-21 Duur: 4:31, 5.5 MB Rating: 5 / 5, aantal stemmen: < 10 keer |
||||||
Laatst bekeken: 2026-04-20 Duur: 6:43, 8.2 MB Rating: 4 / 5, aantal stemmen: < 10 keer |
||||||
Laatst bekeken: 2026-04-20 Duur: 3:56, 5 MB Rating: 5 / 5, aantal stemmen: < 10 keer |
||||||
Laatst bekeken: 2026-04-21 Duur: 8:38, 10.8 MB Rating: 5 / 5, aantal stemmen: < 10 keer |
||||||
Laatst bekeken: 2026-04-20 Duur: 7:54, 8.4 MB Rating: 4 / 5, aantal stemmen: < 10 keer |
||||||
Laatst bekeken: 2026-04-20 Duur: 3:03, 3.3 MB Rating: 4 / 5, aantal stemmen: < 10 keer |
||||||
Laatst bekeken: 2026-04-20 Duur: 2:56, 3.1 MB Rating: 5 / 5, aantal stemmen: < 10 keer |
||||||
Laatst bekeken: 2026-04-21 Duur: 1:15, 1.3 MB Rating: 0 / 5, aantal stemmen: 0 keer |
||||||
Groen uitlegblok per bladzijde:
Blz 173: Optellen, aftrekken, vermenigvuldigen en delen (16:33)
Blz 175: Vereenvoudigen en uitdelen (12:13)
Blz 173: Optellen, aftrekken, vermenigvuldigen en delen (16:33)
Blz 175: Vereenvoudigen en uitdelen (12:13)
Andere paragrafen:
4.0. Voorkennis (1 t/m 4)
4.1. Stelsels vergelijkingen (1 t/m 22)
4.2. Hogeregraadsvergelijkingen (23 t/m 44)
4.3. Regels voor het oplossen van vergelijkingen (45 t/m 62)
4.4. Formules met breuken herleiden (63 t/m 76)
4.5. Inverse functies (77 t/m 91)
4.G. Gemengde opgaven (1 t/m 10)
4.K. Kennis- en vaardighedentest (1 t/m 18)
4.0. Voorkennis (1 t/m 4)
4.1. Stelsels vergelijkingen (1 t/m 22)
4.2. Hogeregraadsvergelijkingen (23 t/m 44)
4.3. Regels voor het oplossen van vergelijkingen (45 t/m 62)
4.4. Formules met breuken herleiden (63 t/m 76)
4.5. Inverse functies (77 t/m 91)
4.G. Gemengde opgaven (1 t/m 10)
4.K. Kennis- en vaardighedentest (1 t/m 18)
In de media! Aan het woord...
Word ook lid!
Word ook lid!
Hoe maken wij onze video's?
Word ook lid!
Word ook lid!
Ook van ons:
Brugklas.net
Vmbobasis.nl
Vmbokader.nl
Mavo3.nl
Mavo4.nl
Havo1.nl
Havo2.nl
Havo3.nl
Vwo1.nl
Vwo2.nl
Vwo3.nl
Wiskunde-a.nl (4/5/6)
Wiskunde-b.nl (4/5/6)
Wiskunde-c.nl (4/5/6)
Wiskunde-d.nl (4/5/6)
Wiskundeles.nl
Wiskunde.help
Wiskunde.LIVE (later meer)
Wiskunde examentraining (2026)
Brugklas.net
Vmbobasis.nl
Vmbokader.nl
Mavo3.nl
Mavo4.nl
Havo1.nl
Havo2.nl
Havo3.nl
Vwo1.nl
Vwo2.nl
Vwo3.nl
Wiskunde-a.nl (4/5/6)
Wiskunde-b.nl (4/5/6)
Wiskunde-c.nl (4/5/6)
Wiskunde-d.nl (4/5/6)
Wiskundeles.nl
Wiskunde.help
Wiskunde.LIVE (later meer)
Wiskunde examentraining (2026)
