Video uitwerkingen 4.4 Hogeregraadsvergelijkingen HAVO 4 B
Boek: Getal & Ruimte - Werken met formules HAVO 4 (deel 1) opgaven 48 t/m 71, 2023, 13e editie
LET OP: Wil je ook toegang tot meer dan 17.100 video-uitwerkingen? Meld je dan snel aan! Klik hier...
Laatst bekeken: 2026-01-25 Duur: 1:39, 1.9 MB Rating: 5 / 5, aantal stemmen: < 10 keer |
||||||
Laatst bekeken: 2026-01-25 Duur: 0:47, 0.9 MB Rating: 5 / 5, aantal stemmen: < 10 keer |
||||||
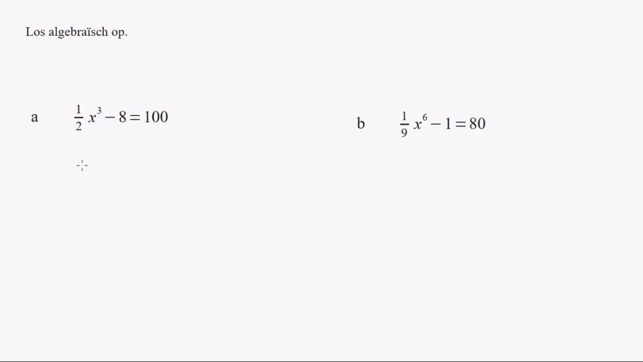
Laatst bekeken: 2026-01-25 Duur: 4:18, 4.5 MB Rating: 4 / 5, aantal stemmen: < 10 keer |
||||||
|
|
Laatst bekeken: 2026-01-25 Duur: 4:07, 5.1 MB Rating: 4 / 5, aantal stemmen: < 10 keer |
|||||
|
Laatst bekeken: 2026-01-25 Duur: 2:42, 3.5 MB Rating: 5 / 5, aantal stemmen: < 10 keer |
|||||
|
|
Laatst bekeken: 2026-01-25 Duur: 4:03, 5.3 MB Rating: 4 / 5, aantal stemmen: < 10 keer |
|||||
|
Laatst bekeken: 2026-01-25 Duur: 5:11, 5.5 MB Rating: 4 / 5, aantal stemmen: < 10 keer |
|||||
|
Laatst bekeken: 2026-01-25 Duur: 4:27, 4.6 MB Rating: 5 / 5, aantal stemmen: < 10 keer |
|||||
|
|
Laatst bekeken: 2026-01-25 Duur: 3:34, 5 MB Rating: 5 / 5, aantal stemmen: < 10 keer |
|||||
|
|
Laatst bekeken: 2026-01-25 Duur: 2:28, 2.8 MB Rating: 5 / 5, aantal stemmen: < 10 keer |
|||||
|
|
Laatst bekeken: 2026-01-25 Duur: 2:03, 2.3 MB Rating: 4 / 5, aantal stemmen: < 10 keer |
|||||
|
Laatst bekeken: 2026-01-25 Duur: 5:12, 5.3 MB Rating: 5 / 5, aantal stemmen: < 10 keer |
|||||
|
Laatst bekeken: 2026-01-25 Duur: 5:27, 5.8 MB Rating: 4 / 5, aantal stemmen: < 10 keer |
|||||
|
|
Laatst bekeken: 2026-01-25 Duur: 5:13, 5.9 MB Rating: 5 / 5, aantal stemmen: < 10 keer |
|||||
|
Laatst bekeken: 2026-01-25 Duur: 7:40, 10.1 MB Rating: 5 / 5, aantal stemmen: < 10 keer |
|||||
|
|
Laatst bekeken: 2026-01-25 Duur: 7:17, 9.8 MB Rating: 5 / 5, aantal stemmen: < 10 keer |
|||||
|
Laatst bekeken: 2026-01-25 Duur: 0:44, 1 MB Rating: 5 / 5, aantal stemmen: < 10 keer |
|||||
|
Laatst bekeken: 2026-01-25 Duur: 2:06, 2.8 MB Rating: 5 / 5, aantal stemmen: < 10 keer |
|||||
|
Laatst bekeken: 2026-01-25 Duur: 7:48, 10.1 MB Rating: 5 / 5, aantal stemmen: < 10 keer |
|||||
|
Laatst bekeken: 2026-01-25 Duur: 6:29, 8.5 MB Rating: 5 / 5, aantal stemmen: < 10 keer |
|||||
|
Laatst bekeken: 2026-01-25 Duur: 2:35, 3.6 MB Rating: 5 / 5, aantal stemmen: < 10 keer |
|||||
|
Laatst bekeken: 2026-01-25 Duur: 5:37, 7.7 MB Rating: 5 / 5, aantal stemmen: < 10 keer |
|||||
|
Laatst bekeken: 2026-01-25 Duur: 4:30, 5 MB Rating: 5 / 5, aantal stemmen: < 10 keer |
|||||
|
Laatst bekeken: 2026-01-25 Duur: 2:12, 3.1 MB Rating: 5 / 5, aantal stemmen: < 10 keer |
|||||
|
Laatst bekeken: 2026-01-25 Duur: 3:38, 4.3 MB Rating: 4 / 5, aantal stemmen: < 10 keer |
|||||
|
Laatst bekeken: 2026-01-25 Duur: 2:45, 3 MB Rating: 0 / 5, aantal stemmen: 0 keer |
|||||
|
Laatst bekeken: 2026-01-25 Duur: 4:40, 6.1 MB Rating: 5 / 5, aantal stemmen: < 10 keer |
|||||
|
Laatst bekeken: 2026-01-25 Duur: 1:39, 2 MB Rating: 5 / 5, aantal stemmen: < 10 keer |
|||||
Geel uitlegblok per bladzijde:
Blz 156: Hogeremachtswortels (12:07)
Blz 158: Hogermachtswortels herleiden (03:54)
Blz 159: Hogeregraadsvergelijkingen en ontbinden in factoren (05:41)
Blz 161: Vergelijkingen grafisch-numeriek oplossen (02:49)
Blz 162: Ongelijkheden oplossen (06:36)
Blz 156: Hogeremachtswortels (12:07)
Blz 158: Hogermachtswortels herleiden (03:54)
Blz 159: Hogeregraadsvergelijkingen en ontbinden in factoren (05:41)
Blz 161: Vergelijkingen grafisch-numeriek oplossen (02:49)
Blz 162: Ongelijkheden oplossen (06:36)
Andere paragrafen:
4.0. Voorkennis (1 t/m 4)
4.1. De formules y=a(x-p)2+q en y=a(x-d)(x-e) (1 t/m 19)
4.2. De formules y=ax2+bx+c (20 t/m 32)
4.3. De machtsformule (33 t/m 47)
4.4. Hogeregraadsvergelijkingen (48 t/m 71)
4.5. Extreme waarden en wiskundige modellen (72 t/m 84)
4.G. Gemengde opgaven (1 t/m 7)
4.K. Kennis- en vaardighedentest (1 t/m 13)
4.0. Voorkennis (1 t/m 4)
4.1. De formules y=a(x-p)2+q en y=a(x-d)(x-e) (1 t/m 19)
4.2. De formules y=ax2+bx+c (20 t/m 32)
4.3. De machtsformule (33 t/m 47)
4.4. Hogeregraadsvergelijkingen (48 t/m 71)
4.5. Extreme waarden en wiskundige modellen (72 t/m 84)
4.G. Gemengde opgaven (1 t/m 7)
4.K. Kennis- en vaardighedentest (1 t/m 13)
In de media! Aan het woord...
Word ook lid!
Word ook lid!
Hoe maken wij onze video's?
Word ook lid!
Word ook lid!
Ook van ons:
Brugklas.net
Vmbobasis.nl
Vmbokader.nl
Mavo3.nl
Mavo4.nl
Havo1.nl
Havo2.nl
Havo3.nl
Vwo1.nl
Vwo2.nl
Vwo3.nl
Wiskunde-a.nl (4/5/6)
Wiskunde-b.nl (4/5/6)
Wiskunde-c.nl (4/5/6)
Wiskunde-d.nl (4/5/6)
Wiskundeles.nl
Wiskunde.help
Wiskunde.LIVE (later meer)
Wiskunde examentraining (2025)
Brugklas.net
Vmbobasis.nl
Vmbokader.nl
Mavo3.nl
Mavo4.nl
Havo1.nl
Havo2.nl
Havo3.nl
Vwo1.nl
Vwo2.nl
Vwo3.nl
Wiskunde-a.nl (4/5/6)
Wiskunde-b.nl (4/5/6)
Wiskunde-c.nl (4/5/6)
Wiskunde-d.nl (4/5/6)
Wiskundeles.nl
Wiskunde.help
Wiskunde.LIVE (later meer)
Wiskunde examentraining (2025)
