Wiskunde.netLogo Wiskunde


Video uitwerking §2.6 Conclusies trekken: opgave 83 - (0:00)

Boek: Getal & Ruimte - De statistische cyclus VWO 4 (deel 1) 13e editie, 2025

Helaas geen video...

We hebben op dit moment (nog) geen video van deze opgave. Daarom hieronder nu even het antwoord om je toch op weg te helpen!

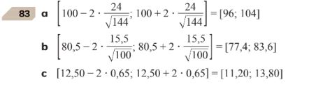
Antwoord / uitwerking:

Heb je een vraag of opmerking over deze video?
Laat ons weten wat je van deze video en Wiskunde.net vindt. Ben je tevreden? We horen het graag! Klik hier om je opmerking te plaatsen...
   
Opgave 71
Opgave 72
Opgave 73
Opgave 74
Opgave 75
Opgave 76
Opgave 77
Opgave 78
Opgave 79
Opgave 80
Opgave 81
Opgave 82
Opgave 83
Opgave 84
Opgave 85
Opgave 86

Samenhang en causaliteit Betrouwbaarheidsinterval voor een proportie Betrouwbaarheidsinterval voor een gemiddelde
×

Groen uitlegblok per bladzijde:
Blz 96: Samenhang en causaliteit (09:16)
Blz 99: Betrouwbaarheidsinterval voor een proportie (35:34)
Blz 102: Betrouwbaarheidsinterval voor een gemiddelde (12:18)

Andere paragrafen:
2.1. De onderzoeksvraag (1 t/m 8)
2.2. Data verzamelen (9 t/m 20)
2.3. Data analyseren (21 t/m 36)
2.4. Kwartielen en spreiding (37 t/m 49)
2.5. Statistische verdelingen (50 t/m 70)
2.6. Conclusies trekken (71 t/m 86)



Geef je mening aan ons:
Review
Tevreden? Laat het ons weten!
Schrijf een review...
Jurgen de Bont Foto: Jurgen de Bont - Docent Wiskunde - Breda   
Welkom leerlingen op Wiskunde.net!   

Op deze site vind je duidelijke uitlegvideo's gekoppeld aan jouw boek om jou verder te helpen met het mooie vak Wiskunde. Hierboven vind je de video-uitleg van §2.6 Conclusies trekken opgave 83 en links in het gele blokje (indien aanwezig), kun je de theorie bekijken in video. Ben je nog geen lid? Klik dan hier...
Succes verzekerd!

Met wiskundige groet,
Jurgen de Bont & Martijn Claassen & Bob Pruiksma, docenten Wiskunde onder- en bovenbouw